Directions to find definite integrals on a TI83/84 calculator
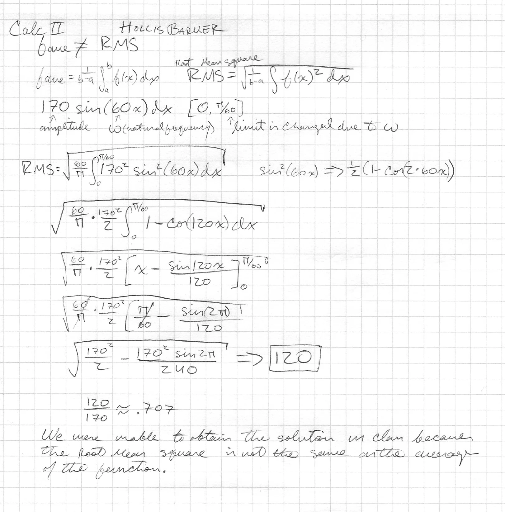
Here is how to find the RMS value .707 Thanks goes to Hollis Barker here is the explination

Directions to find definite integrals on a TI83/84 calculator
Here is how to find the RMS value .707 Thanks goes to Hollis Barker here is the explination
